Nikon AFSVR200-500E-cr 200-500mm VR Lens - Renewed
Nikon AFSVR200-500E-cr 200-500mm VR Lens - Renewed
Capture Distant Subjects with Clarity: Nikon AF-S 200-500mm VR Lens
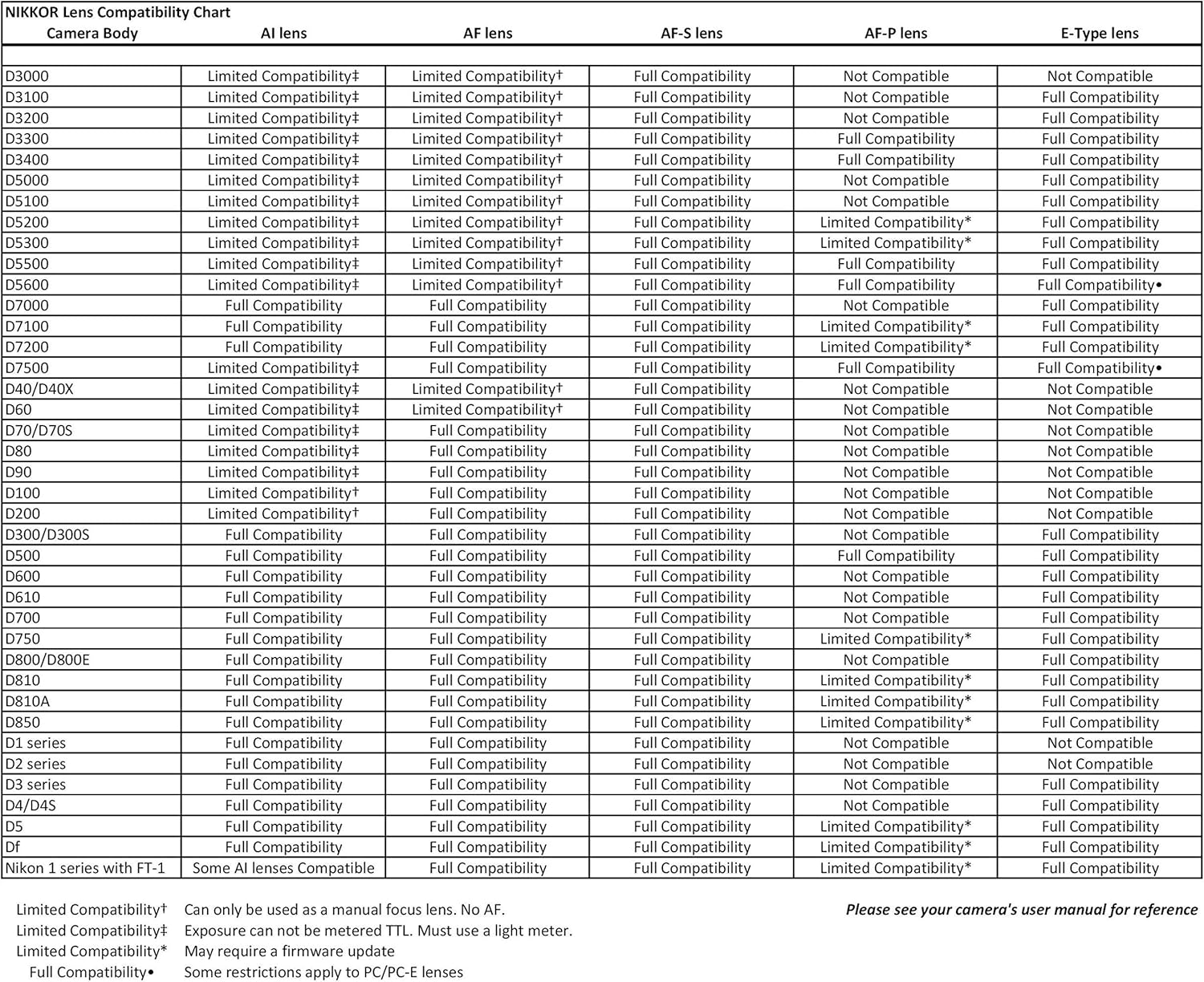
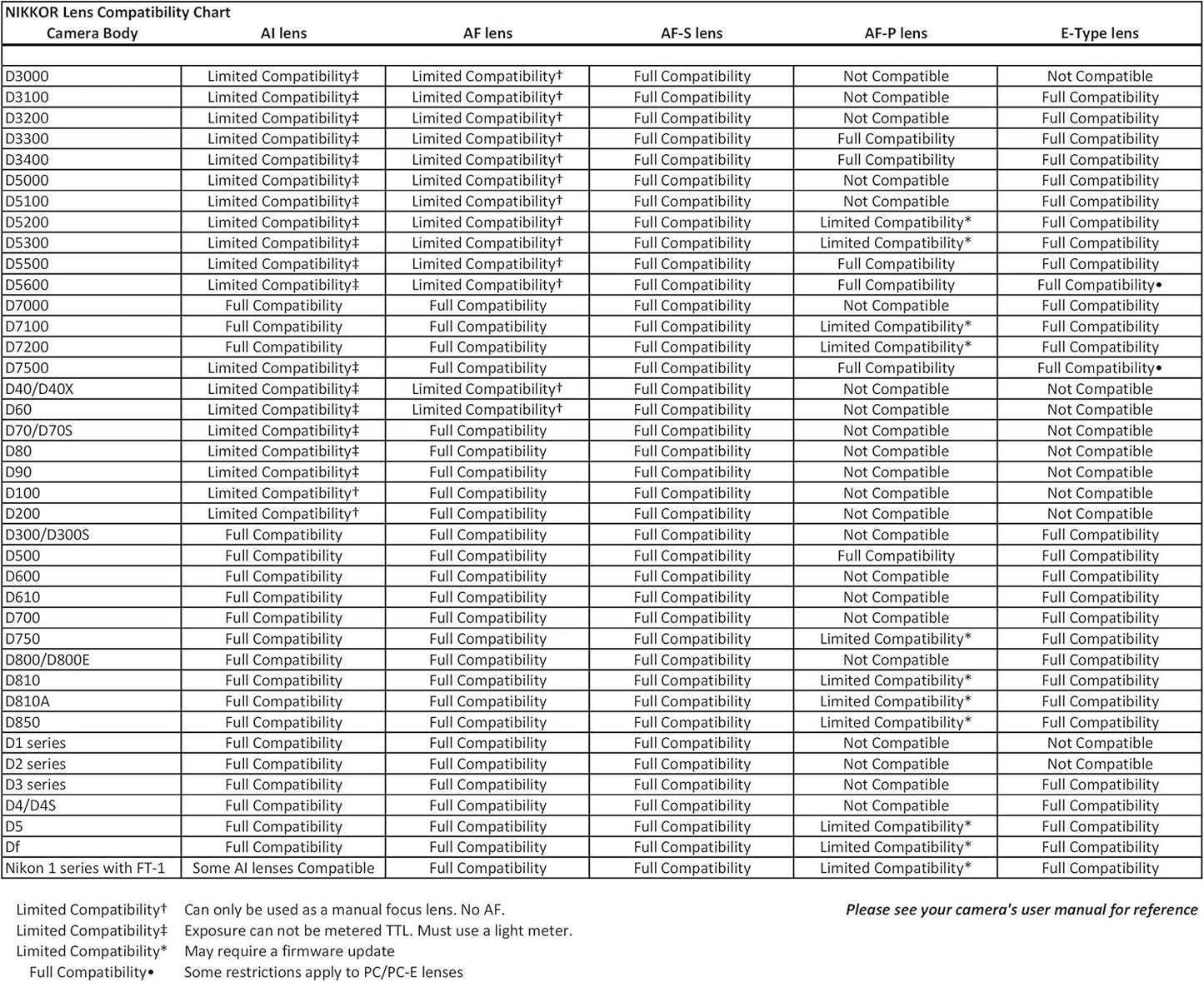
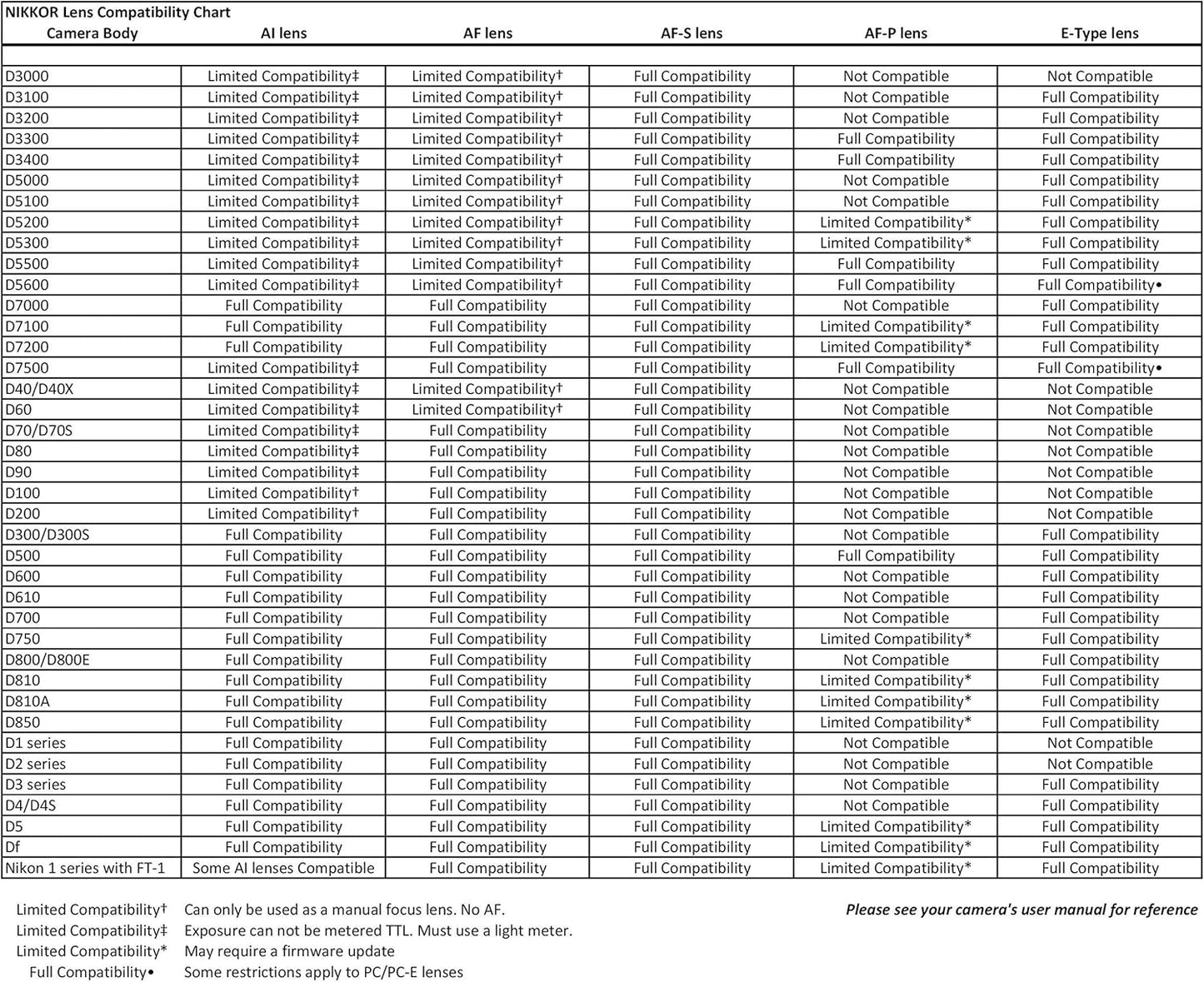
The Nikon AF-S NIKKOR 200-500mm lens is a versatile super-telephoto zoom lens designed for capturing distant subjects with exceptional clarity. Its constant f/5.6 aperture provides beautiful bokeh and excellent low-light performance. Vibration Reduction (VR) image stabilization minimizes camera shake, ensuring sharp and steady images. Compatible with Nikon FX and DX format DSLRs.
Specifications:
- Focal Length: 200-500mm
- Aperture: f/5.6 constant
- Lens Type: Telephoto
- Mount: Nikon F
- Image Stabilization: Vibration Reduction (VR)
We partner with Amazon and other retailers to provide accurate product information and convenient access to purchase options. As an Amazon Associate we earn from qualifying purchases.
This page contains affiliate links. If you click on a link and make a purchase, we may earn a small commission at no extra cost to you. Thank you for supporting our website.
Notice a mistake? Have a question or suggestion? We’d love to hear from you. Let Us Know
